Ako správne pracovať s geometrickou postupnosťou?
24. máj 2024
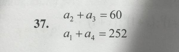
Pomôže mi niekto? Vychádza mi q na tretiu… s tým viem pracovať ďalej alebo počítam zle?🫣🤷♀️

q = 0,2; a1 = 250, a2 = 250.0,2 = 50, a3 = 250.0,2.0,2 = 10, a4 = 250.0,2.0,2.0,2 = 2; a2 + a3 = 50 + 10 = 60; a1 + a4 = 250 + 2 = 252.

q = 5; a1 = 2, a2 = 2.5 = 10, a3 = 2.5.5 = 50, a4 = 2.5.5.5 = 250; a2 + a3 = 10 + 50 = 60; a1 + a4 = 2 + 250 = 252.