Platové triedy v školstve
Ahojte,chcela by som ísť študovať VŠ pedagogického smeru. Neviem ešte konrétne akú, bola by som rada,eby mi niekto poradil ohľadne platových tried.
@sida447 platove triedy by mali byt rovnake pre ZS, SS, gymnazia. Ak by si bola specialny pedagog, tak tam su nejake priplatky, ale nezda sa mi, ze si v najvyssej triede. Ak chces robit ucitelstvo, tak treba ratat aj s tym, ze mnohi ucitelia vobec nemaju 100% uvazok a plat je nizsi ako uvadzaju tabulky, ak by som si mala vybrat opat, tak by som zvolila 1-4rocnik, cize ucitel 1. stupna, tych hladaju najcastejsie, a potom samozrejme predmety ako cudzie jazyky, matika, fyzika, chemia, a slovensky jazyk.
@sida447 mam vystudovane ucitelstvo 2. st. v odbore biologia-geografia (uz by som to druhy raz nestudovala), studium ma bavilo, ale zial, uplatnenie z tychto dvoch predmetov je nizke, kedze BG sa uci okrem ZS na gymnaziu a mozno v jednom rocniku na ine SS..... takze ja z vlastnej skusenosti tuto kombinaciu neodporucam, aj ked je zaujimava
@sida447 urcite radsej ucitelstvo 1.st ZS. Specialna pedagogika je skor pre specialne skoly,ale nemyslim si,ze mozes s tym ucit 1-4. Klasicke.. to si treba este zistit. Mozes robit ale na skole spec.pedagoga, my ho napr. Mame..otazne je ,ci mas vztah k detom s poruchami ucenia atd..ci by ta to naplnalo sa im venovat, je to o trpezlivosti, 10x vysvetlit to iste vzdy inak...
Ucitelov 1.st je stale malo takze skor to. Hoci aj deti s dys pribuda,ale nikdy nebude treba tolko speciek ako pedagogov podla mna.
@katrin21 určite nemôže kvalifikovane učiť na 1.st. ZŠ ak má len špec.pg.
@sida447 Odporúčam naštudovať si Zákon č. 138/2019 Z. z. o pedagogických zamestnancoch a odborných zamestnancoch aby si vedela kedy si kvalifikovaná a kde môžeš pracovať so štúdijným odborom ktorý si vyberieš. Aj ja odporúčam predškolskú a elementárnu pedagogiku.
Po 3 ročnom štúdiu Bc. absolvent programu sa môže v praxi uplatniť ako učiteľ v materskej škole, asistent učiteľa na 1. stupni ZŠ, ako odborný pedagogický pracovník (vychovávateľ) v zariadeniach pre deti v predškolskom a mladšom školskom veku (najmä školské kluby a centrá voľného času).
Je pripravený realizovať výchovné a vzdelávacie programy v konkrétnych skupinách detí, viesť detské skupiny vo vzťahu k pedagogickým zámerom príslušných inštitúcií a organizácií. Má vedomosti a zručnosti, ktoré mu uľahčujú spoluprácu s učiteľmi, ďalšími odborníkmi a rodičmi školákov.
Následne po 2 ročnom magisterskom štúdiu absolvent sa uplatní ako učiteľ na 1. stupni ZŠ s vyučovacím jazykom slovenským, resp. ako edukačný odborník v zariadeniach a inštitúciách mimoškolskej výchovy a v školskej správe. Absolvent je schopný organizačne a metodicky viesť inštitúcie predškolskej a mimoškolskej výchovy detí príslušného veku, ako aj pracovať v sektore vzdelávania ľudí s kultúrnym hendikepom.
Absolvent, ktorí v rámci štúdia absolvovali voliteľnú štátnu skúšku „Didaktika anglického jazyka a literatúry pre predprimárny a primárny stupeň vzdelávania“ sa môže uplatniť aj ako učitelia anglického jazyka na 1. stupni ZŠ.
Ja mam strednu pedagogicku teraz som išla na vš tiež som sa rozhodovala rovnako no nakoniec som išla na vychovavatelstvo a pedagogiku🙏🏼 Môžem len poradit že toto sú dosť tažke odbory. Hlavne som si dala otazku : Nina chceš robit s postihnutými alebo teda s rôznymi diagnózami s deťmi? No a tym to haslo. A chcem ostať v mš alebo jasliach je to naj a škd je super🙏🏼 No na predškolskej je tažka matika a špecka je podla mna dpsť náročná známa ju študuje a povedala že by sa na to nedala 🙏🏼 Všetko po latinsky... ono ak sa na to pozeráš platovo tak je to dosť smutne to ťa proste musi bavit vymýšľať rôzne aktivity mať trpezlivosť byť zodpovedná...
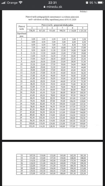
@sida447 ja mám vyštudovanú jednoodborovú pedagogiku Bc., potom špeciálnu pedagogiku Mgr. - zatiaľ bez atestácie. Som zaradená do 7mej platovej triedy pri odpracovaní 5 rokov 243 praxe.
@sida447 a este k mozno ak organizacii na skole, vacsina ludi (tych co nepracovali v skolstve) zavidi ucitelom prazdniny, ale pre ucitelov je to cerpanie dovolenky v case hlavnych prazdnin, ako ucitel mas viac dni dovolenky ako ludia v nestatnych poziciach, ale ked sa zrataju vsetky prazdniny, sviatky, tak je to viac dni ako ma ucitel dni dovolenky a teda sa tie dni, ktore nevies vykryt dovolenkou musia riesit cez zastupavania pocas roka, dokonca ak nastupila do prace nova kolegyna a nemala dostatok dovolenky, tak sa dohodla s riaditelkou na tom, ze si koncom letnych prazdni uz budr cerpat dovolenku z dalsieho skolskeho roka, bo inak to nemala sancu obsiahnut. A mat volno pocas skolskeho roka, na to zabudni, ked som mala chore dieta a bolo s nim treba ostat doma, riadtitelke sa to nepacilo, a to kym som ja s nou ostala doma, tak sa pri nej vystriedali- muz, moja mama, otec, svokra a az tak som sla ja, aj to len na 2-3 dni. Kvoli peniazom nema zmysel robit tuto pracu, pokial k nej nemas vztah.....
Všetkým vám veľmi pekne ďakujem za vaše odpovede, rady, skúsenosti. Ja už teraz pracujem v škôlke, dorábam si strednú odbornú školu, ale chcela by som ísť ďalej a myslím, že by ma špeciálna pedagogika bavila, ale samozrejme pozerám aj na to,aké by bolo moje platové ohodnotenie. A v neposlednom rade,aby som štúdium zvládla,predsa sú to roky štúdia a navyše mám doma už štyri deti a práca, tak nerada by som neskôr zistila, že to nezvládnem. Ďaujem vám ešte raz za váš čas a ochotu,ste zlaté 🙂
No ja zatial chodim rada do práce 🙂Je to moja prvá pracovná skúsenosť a máme celkom zlaté deti 🙂
@sida447 Bavila by ťa špeciálna pedagogika? Na to si ako prišla? Máš vôbec šajnu o tom, o čom je práca s postihnutými deťmi? A premýšľaš nad platom? Pracovať v postihnutými deťmi nie je práca, to je doslova a do písmena poslanie. Platovo podhodnotené, spoločnosťou nedocenené. Tak ako aj práca učiteľa všeobecne, na učiteľov hľadí spoločnosť s dešpektom, pritom je to podľa mňa jedno z najnáročnejších povolaní a platovo absolútne nedocenené. Nedokážem pochopiť trpezlivosť a zlaté nervy žiadnej učiteľky a za ten plat, ktorý majú. Ak rozmýšľaš nad prácou učiteľky cez peniaze, tak si na zlej ceste. A už vôbec nie práca špeciálneho pedagóga. Táto práca nie je vhodná pre každého a už vôbec pre niekoho, kto čo i len pomyslí na platové ohodnotenie.
@natalienka12 Nuž to, čo nieje dostatočný plat pre Vás, inému to stačiť môže. A to, akou cestou sa rozhodnem ísť, čo od toho čakám a ako dobre to budem robiť je môj problém 🙂 Ďakujem za názor...
@ninusa221 prosim ta známa špecku studuje v ktorom meste na akej skole ďakujem


@sida447 zacinas v najnizsej a postupne ides hore