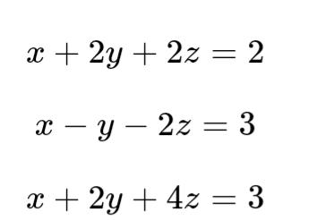
Sústava rovníc z matiky
Taketo rovnice je najlahsie odcitovat. Napr. odčítas tretiu od prvej, vypadnu dve premenne x aj y. Vyratas hned premennu z. Dosadis do prvych dvoch rovnic a mas dve rovnice o dvoch neznamych. To uz asi das, nie? 🌸
autor
•
6. jan 2023@uhnakova odčitovaním som to ešte neskúšala,ma to nenapadlo, ale asi viem ako to myslíte, tak skúsim aj tento spôsob a ďakujem
Matice sa preberaju az na konci strednej skoly, niekedy sa s nimi stretnu prvy krat az na vyske a v principe je to len iny zapis odcitovacej metody.
Odporucam na FB skupiny Zavreta skola, je tam vela odkazov na YT s navodmi a vysvetlenim.
Je to triviálne jednoduché, riaďte sa prvým príspevkom. Pochopí to každý. Netreba z toho robiť pokročilú vedu.


Ak si dobre pamatam, uz jecto par rokov, co som chodila do skoly, tak by to malo byt tak, ze si z jedneho riadku vyjadris "x". V tomto pripade z druheho riadku je to najvyhodnejsie a vyjde ti
X=3+y+2z
Potom miesto "x" v prvom riadku nahradis to co vyslo z druheho, vypocitas napr "y"
Vyjde ti rovnica o dvoch neznamych "y" a "z".
Z tej vyjadris "y" a cast rovnice za "=" nahradis ypsylonom, vypocitas tak hodnotu "z"
Pomocou tejbhodnoty vypocitas hodnotu "y" z prvej rovnice a potom poslednu hodnotu "x".
Hadam som ti pomohla s metodou, pocitat to za teba nebudem, lebo by si sa nic nenaucila 😉