Nesúhlas s povinným očkovaním
Viem ze uz su tu nejake temy na ockovanie ale ide mi presne o opacnu vec. Mate nejake skusenosti s odmietnutim povinneho ockovania deti? Rodicia uz totizto zacinaju byt viac informovani aj o rizikax ockovania malyx deticiek, avsak ockovanie je povinne takze vlastne ani nemame na vyber. Cize ked je clovek- rodic presvedceny ze nexce dat svoje dieta ockovat porusuje zakon.
@nae ako by som to riesila?
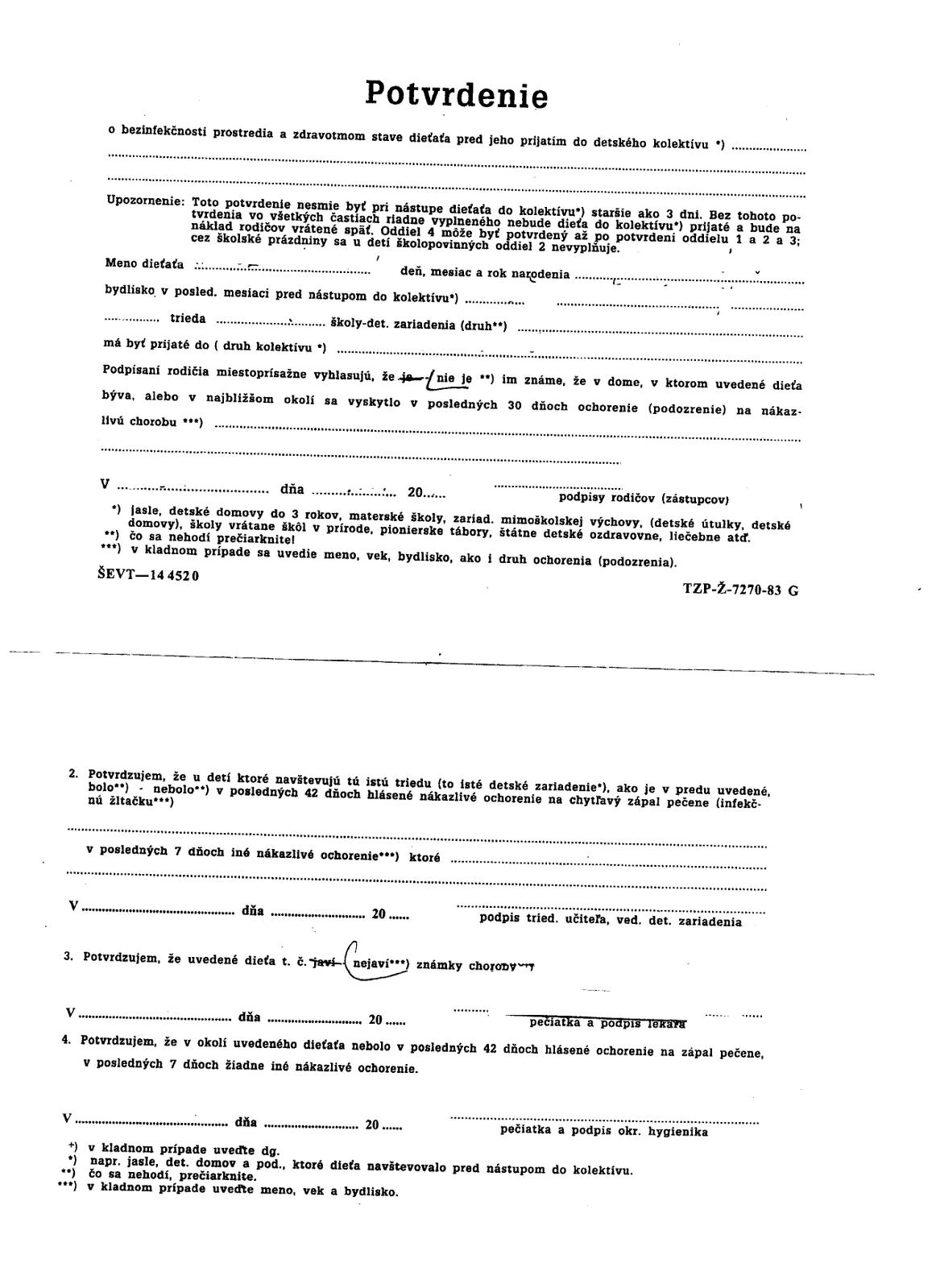
v prvom rade by som dr. jasne dala najavo, ze nema co do potvrdenia dopisovat to co tam nema co hladat, ziadny zakon ani nikto jej to neprikazuje
v druhom rade, ak by som nepochodila, brala by som od nej kartu a hladala rozumnu lekarku, ktora s tym nerobi problemy
alebo, ako tu bolo spomenute, by som to kamuflovala nejakych osobitym ockovacim kalendarom a urcite aj zlymi reakciami na predchadzajuce ockovanie, ak by trebalo, sla by som aj k imunologicke a ziadala vysetrenie imunity, v pripade nie priaznivych vysledkov, by som to nimi dokladovala ako kontraindikaciou ockovania
... teda, co s tymi detmi, ktore maju jasne kontraindikovane vakciny? tie tiez nepustia do statnej skolky? tym tiez lekari robia take problemy? 😠
@hajanka
- v žiadosti do školky je na to extra kolonka - možem to doma nascanovat a hodiť sem obrázok (teraz sme mimo, tak až budúci týždeň) - vyslovene je tam priestor na vyjadrenie lekára, či má dieťa splnenú očkovaciu povinnosť podľa vyhlášky MZ ČR
- riešim toto u mladšieho syna, ten očkovaný nie je, takže nemožem argumentovať zlými predchádzajúcimi reakciami...
- vyšetrenie imunity - to má podľa mňa zmysel až po ukončení dojčenia, lebo teraz je jeho hladina protilátok ovplyvnená mnou
- viem akurát o jednom dieťati, ktoré má kvoli epilepsii indivindi očko kalendár, a kvoli tomu ho nevzali do štátnej školky, rodičia ho dali do súkromnej montessori. Ostatné deti známych sú napichané horom spodom 🙄
- mám už referencie na nejaké v tomto smere rozumnejšie dr., tak uvidíme, čo s tým - ale riešim to teraz, pretože teraz sa musím rozhodnúť, čo s tým a musím vedieť, aké sú možnosti a riešenia. Ďakujem za názor.
baby, ja som pozrela našu prihlášku, máme tam o.i. uvedené: "Dieťa absolvovalo všetky povinné očkovania"
Starší očkovania mal, mladší ich mať určite nebude - mali sme odklad MMR zo zdrav. dôvodov, čakám na výsledky včerajších odberov, lekárka sa nevie dočkať, kedy ho zaočkuje.. sa nedočká 😀 ale verím, že nebudú problémy (teda v MŠ, u pediatričky asi hej)
@syla pozor na to, tie tlaciva su dvojake. v jednom ta kolonka je, v druhom nie. a to na SVK, v cechach netusim, ako to je. ale zasa ktosi kdesi pisal, ze lekar skodoradostne napisal do kolonky neockovany a do MS ho aj tak vzali :D :D :D. a ako stale tvrdim, o par rokov (davam take dva - tri maximalne) budu brat aj neockovane. biznis je biznis, prachy od statu su prachy a ak nechcu mat poloprazdne skolky, budu radi, ze tam niekoho maju. na dedinach urcite 🙂 @nae 🙂
@manof no vidis, super, mozes ho poslat @prevenar , on sa tu po nom zhanal :P ostatne clanky su typicke proocko kydy, nikde sa neuvadzaju ziadne rizika ockovania, klasika. zbehnuteho v probleme to ani neprekvapi.
a okrem toho, caplovic chce aj tak zaviest povinnu predskolsku dochadzku, takze no panic ;)
@hajanka v stredu sme boli na poradni, od stvrtka ma mala sopliky, chytila nejaku potvoru od tatka (keby som ju tak v tu stredu dala zaockovat, to by bola parada! a este mi pediater hovoril, ze isto nie je chora, vsetko ok, dycha pekne, cisto. vo stvrtok o stvrtej rano uz chrapotala 😖 ). nasadila som vyssie davky cecka, v nedelu doobeda vsetko ok 🙂 poobede sme ale museli ist na oslavu synovcovych menin, svokra, tela jedno, sa musela ist do dediny pochvalit vnuckou a vecer uz sme to mali naspat, este v horsom prevedeni 😠 tak pekne este vyssie davky cecka a pouzivam sterimar, dnes uz celkom dobre, pomaly sa z toho dostaneme aj bez ATB. a este mi dneska svokra volala, ci som s nou bola u lekara, ze on by jej nejake lieky dal. najradsej by som zrusila svokry...
Ku skolkam: ono je to asi individualne, skolky si robia zrejme vlastne tlaciva, tu je tlacivo z bratislavy/petrzalky, o ockovani ani slova:
http://www.mslietavska.sk/dokumenty/ziadostOpri...
@majusqwa
kvoli ciganom maju moje deti chodit povinne a nechat sa psychicky tyrat v "povinnej skolke"?....... mozem takeho idiota co toto vymyslel bozat v rit!...... nikdy tam moje deti chodit nebudu aj ked sa postavi na usi....
Sme v druhej skolke v BA, nikde sa na ockovanie nepytali - v ziadnych tlacivach.
@kajulka1 len strasi lebo chce svojich 6 ci 7EUR za zaockovanie.
@nikimax Olej z trescej pecene ma najvyssi obsah vitaminu D v prirode, napr. Nutraceutica.
@martinkah na streptokoky a stafylokoky je vraj velmi ucinna tinktura z kapucinky vacsej. Pre deti ju treba nakvapkat do tepleho napoja - caju a nechat chvilu postat aby sa odparil alkohol, tak ju mozu uzivat aj deti.
@syla ahoj,tak toto sú staré potvrdenia najmenej 10.-15 rokov..teraz by mali byť úplne iné tlačivá..potvrdenie o zdravotnom stave sa dáva na prihlášku do Mš a a tam nič také nie je a tento "zdrap" už dávno nie je súčasťou triednej dokumentácie 😒 a potvrdenie o bezinfekčnosti je len také krátke vyhlásenie na papierik 4 x 10 cm a potom pri nástupe do Mš vypíše doktorka na Výmenný lístok -ten malý biely v znení :
Dieťa je zdravé,môže navštevovať Mš podpis,pečiatka 🙂 všetko 🙂
Ahojte, ani mi neockujeme. Prave hladame lekara, ktory by to akceptoval a ktory by to ihned nehlasil RUVZ... Poviem vam, je to problem.... Uz som oslovila aj @manof -a (dakujem! 😉 ) , ale s rozumnymi lekarmi je v nasom okrese bieda... Som z toho prekvapena... Naivne som verila, ze aj ked sa teda doktori k sympatiam k neockovaniu verejne nechvalia, aspon neoficialne sa to o nich vie a ze nebude problem, niekoho takeho najst...
Inak uputala ma tu jedna vec, spominalo sa tu, ze najlepsie by bolo, keby detsky lekar vrazil rodicom do ruk kartu dietata a tym by odpadol aj problem s ockovanim, kedze bez pediatra nema dieta kto na ockovanie predvolat... Nie je to, ze dieta nema pediatra, trebarz v prvom roku zivota, pravne postihnutelne? Ak napr. po nepohodnuti sa s pediatrom, ten dieta na zaklade poziadavky rodica vyradi z evidencie, da mu kartu (je mi jasne, ze to nie je celkom standartny postup) a rodic si noveho pediatra nenajde? Alebo co ak rodic dietata narodeneho mimo slovenska dieta k lekarovi neprihlasi? Je toto postihnutelne?
@manof @prevenar nestretli ste sa s tym, ze dieta bolo ockovane podla ocko kalendara inej krajiny a dostalo ekvivalent hexy (pediacel) skor ako na slovensku, cize by malo vsetky 3 davky uz v prvom polroku zivota a potom po prichode na SKK malo podla slovenskeho kalendara dostat 3. davku v 11. mesiaci, cize te facto to by bola uz 4. davka a k tomu aj inou vakcinou ? ako to potom riesili u nas?
fiha aka hrubka.... jasne, ze tam malo byt ani MY... 😅
@beronsche ahoj, ja sa do tychto pravnych veci nevyznam, snad niekto iny poradi, ale urcite ak by dieta nemalo pediatra, by ti stopli vyplacanie materskej (ci RP), lebo ta je viazana na pravidelne lekarske prehliadky.
co sa tyka tych davok a ockovania v zahranici, tie netusim ako to je (podla mna ktory dr. si ako zmysli), ale urcite by nemalo byt opat dieta ockovane, aspon ja by som ho urcite ockovat uz nedala.


@manof nie nečítala, 🙂